西宮市ほぼ全てのスーパーマーケットの年末年始の営業時間をまとめました。
先に言っておくと、年末年始ずっとやってのは、イオン、ダイエー、ハローズ、イトーヨーカドーです。
目次
パルヤマト

12月30日は全店9時開店、12月31日は全店9時開店19時閉店いたします。年始は1月5日より通常営業
たまごがめっちゃ安いのは12月26日です!お忘れ無く。お正月にすき焼きとかのお肉も見逃せない
万代
3が日はお休み!
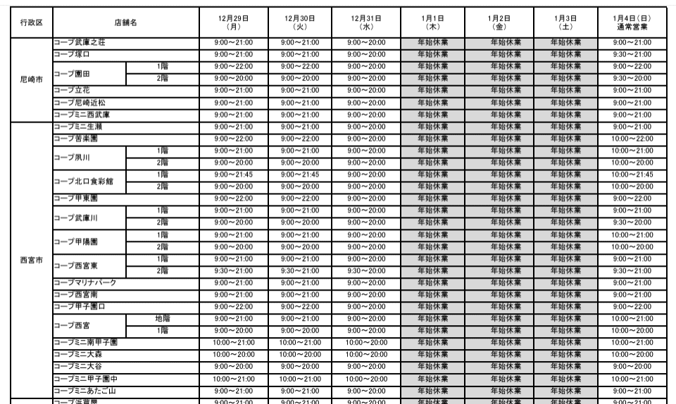
コープこうべ
3が日は休み。だけど、それ以外は店によって若干異なるので要確認です!

(あんず@にしつーsp、茶釜なのださんからの情報提供です)
お正月はしっかり休みと覚えておく感じ。コープ甲陽店も同じポスターなので全店同じものが貼れてると思います。
イズミヤ
ガーデンズ店はずっと営業!
オーケー
毎年正月は休みなんだ~。初めて知りました。

(Marty@にしつーspからの情報提供です)
31日のみ早く営業が終わる。お正月三が日は休みと覚えておきましょう。
ロピア
1月4日までお休みです~。
ライフ
3が日が休み!
関西スーパー
基本的に2日間はお休みみたいですね~。

(かえいつ@にしつーsp撮影)
3日から開店。
阪急オアシス
2日間だけお休み!

(あんず@にしつーspからの情報提供です)
3日は営業してます!
いかりスーパー
お休みは正月2日間!

(あんず@にしつーspからの情報提供です)

(頭がボサノバさんからの情報提供です)
3日から営業です。
ダイエー・グルメシティ
阪神西宮店はずっと24時間営業!強い。

年内も正月も営業。
KOHYO
西宮市内はどこも開いてそうです~。
業務スーパー
薬師町店のみ12月31日は21時まで営業します!(通常通り)
スーパーマルハチ
元日のみ休みです~。
マルアイ
2日間休み!
イオン西宮門戸店
基本的に開いてる!
イオンスタイル甲子園
(あんず@にしつーspからの情報提供です)
年末年始になりますが、31日と1日は営業時間が若干変更になっているようです。
そよら西宮今津(イオンスタイル西宮今津)
夜10時まで開いてます~。
イトーヨーカドー
開いてる!
ビバ甲子園
Instagramには載っていませんでした~。情報提供募集。
トライアル
やっぱり強い。しかも24時間。
サンディ

(おっきー@にしつーspからの情報提供です)

(あんず@にしつーspからの情報提供です)
1月1日から1月4日まで休み。 31日まではやります。
ハローズ
24時間年中無休
さいごに
今年はほぼ全てのスーパーを調べちゃいました~。西宮だけで20ブランドと多くてびっくり。抜けてる所があったら情報お願いします~。






























































